equationElementElementElement functions can be customized with set and show rules.
set and show rules.A mathematical equation.
Can be displayed inline with text or as a separate block. An equation becomes block-level through the presence of whitespace after the opening dollar sign and whitespace before the closing dollar sign.
Example
#set text(font: "New Computer Modern")
Let $a$, $b$, and $c$ be the side
lengths of right-angled triangle.
Then, we know that:
$ a^2 + b^2 = c^2 $
Prove by induction:
$ sum_(k=1)^n k = (n(n+1)) / 2 $

By default, block-level equations will not break across pages. This can be
changed through show math.equation: set block(breakable: true).
Syntax
This function also has dedicated syntax: Write mathematical markup within dollar signs to create an equation. Starting and ending the equation with whitespace lifts it into a separate block that is centered horizontally. For more details about math syntax, see the main math page.
ParameterParameterParameters are input values for functions. Specify them in parentheses after the function name.
math.equation(,,,,alt:,)->blockSettableSettableSettable parameters can be set using the set rule, changing the default value used thereafter.
blockset rule, changing the default value used thereafter.Whether the equation is displayed as a separate block.
Default value: false
How to number block-level equations. Accepts a numbering pattern or function taking a single number.
Show example
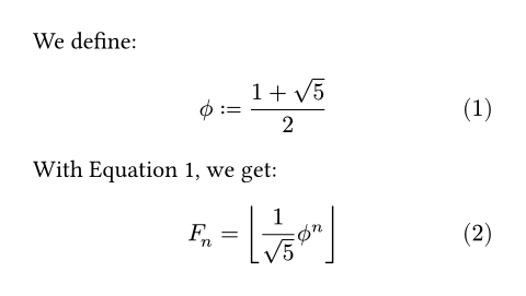
#set math.equation(numbering: "(1)")
We define:
$ phi.alt := (1 + sqrt(5)) / 2 $ <ratio>
With @ratio, we get:
$ F_n = floor(1 / sqrt(5) phi.alt^n) $

Default value: none
number-alignSettableSettableSettable parameters can be set using the set rule, changing the default value used thereafter.
number-alignset rule, changing the default value used thereafter.The alignment of the equation numbering.
By default, the alignment is end + horizon. For the horizontal
component, you can use right, left, or start and end
of the text direction; for the vertical component, you can use
top, horizon, or bottom.
Show example
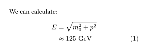
#set math.equation(numbering: "(1)", number-align: bottom)
We can calculate:
$ E &= sqrt(m_0^2 + p^2) \
&approx 125 "GeV" $

Default value: end + horizon
A supplement for the equation.
For references to equations, this is added before the referenced number.
If a function is specified, it is passed the referenced equation and should return content.
Show example
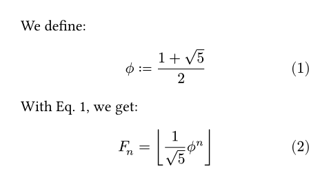
#set math.equation(numbering: "(1)", supplement: [Eq.])
We define:
$ phi.alt := (1 + sqrt(5)) / 2 $ <ratio>
With @ratio, we get:
$ F_n = floor(1 / sqrt(5) phi.alt^n) $

Default value: auto
An alternative description of the mathematical equation.
This should describe the full equation in natural language and will be made available to Assistive Technology. You can learn more in the Textual Representations section of the Accessibility Guide.
Show example
#math.equation(
alt: "integral from 1 to infinity of a x squared plus b with respect to x",
$ integral_1^oo a x^2 + b med d x $,
)

Default value: none
bodyRequiredRequiredRequired parameters must be specified when calling the function.PositionalPositionalPositional parameters can be set by specifying them in order, omitting the parameter name.
bodyThe contents of the equation.